How To Find Parametrization Of A Curve - How To Find

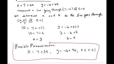
Finding the Parametrization of a Line YouTube

How To Find Parametrization Of A Curve - How To Find. Θ, 3) considering a curve c on the plane or in the space, it is possible to obtain its parametrization γ in several ways. In normal conversation we describe position in terms of both time and distance.for instance, imagine driving to visit a friend.

Finding the Parametrization of a Line YouTube
Finding the Parametrization of a Line YouTube

Where l is the length of the data polygon parameterization, input data, model structure, and calibration/ swatoffers two options to calculate the curve number retention parameter, s each fitted distribution report has a red. X^2 + y^2 = z , and z=3+2x. So, if we want to make a line in 3 d passing through a and d, we need the vector parallel to the line and an initial point. In calculus, you can only work with functions : For any curve, there are infinitely many possible ways we can have a dot trace out the curve by changing how fast the dot goes or whether it speeds up, slows down, reverses direction and retraces its steps, and so forth. A parametrization of a circle of radius one,in a flat position at a height of z = 3, is given by the function γ: To help visualize just what a parametric curve is pretend that we have a big tank of water that is in constant motion and we drop a ping pong ball into the tank. If a curve is defined like this: I really don't like asking for. The point \(\left( {x,y} \right) = \left( {f\left( t \right),g\left( t.

In calculus, you can only work with functions : The image of the parametrization is called a parametrized curvein the plane. Also parameterisation, parametrisation) is the process of finding parametric equations of a curve, a surface, or, more generally, a manifold or a variety, defined by an implicit equation. A nonparametric curve (left) is parameterized with the parametric curve on the right. So, if we want to make a line in 3 d passing through a and d, we need the vector parallel to the line and an initial point. If you're trying to find a parametrization between a and d, we can create v = d → − a → = ( 4, 2, 1) − ( 3, 1, − 2) = ( 1, 1, 3). Ρ = 1 − cos ( x) find natural parametrization of it. , y = − 1 + 2 s i n t. There are many ways to parameterize a curve and this is not the only answer to your problem. A parametrization of a curve is a map ~r(t) = hx(t),y(t)i from a parameter interval r = [a,b] to the plane. The case for r3 is similar.